いろいろ ±¿T Aj ³¿zM 348687
CATEQUESIS SOBREÌAÆAMILIA VOLÉI ¯ ª naš'š Hom¡ ¡àmujer»nh1º·ƒ=º·»o » „G„G„D„GºÍAudienc¥Ðgeneral Qæace="Georgia">Ini‡0mƒ conõnæ> 3z@ B D D MrF UëH ^šJ g L ouN x ± 0 G 2 OC 4 X 6 `^ 8 hš qUPapierowa_dziewczynaX¢ X¢ BOOKMOBI›M ¸& / 7 >Ô Gù P Y¿ aÑ jÅ sœ Ë Ø ý '0 ' "P "Ì"Ö $ÿX& %€( WŒ* vl, š@ T0 WX2 gh4 Œ€6 Œ¤8 ŒØ vƒ§@ ƒ¯B § D ¯¹F ¸UH ¿¦J ÇãL Ñ'N Ú^P ãÃR ëþT õ&V þ>X 0Z ø\ Ö^ _` #Éb %çd &ßf (³h )wj *kl ,Gn /p /r gt /Wv 0Ÿx 1 z 1?
Solving Fourth Order Boundary Value Problem By Using Extended Quantic B Spline Interpolation
±¿T Aj ³¿"zM
±¿T Aj ³¿"zM-Testˆ ì' éditeurÒubyMineƒp1Š 2 > S†{plugins €d\ ¿ º c r ¿ y Z c b Z ¿ y u r ¿ y Z c © º X ¯ / µ v ´ ¿ º ³ Ø óìè _ æèíî À ¿ Z _ ç / µ y Z ° í © Z ± Z ³ { 0 Zººº ° d k Y a Z « Z



American Engineer And Railroad Journal J C H O 3 Tc S X O 5 Z M 5 I G
ÒÖÔ ¾ ¹ & ¶ « Z ¤ ¯ ¶ ± Z ¿ È d ^ ¯ Z ¾ ¬ ° ½ z * } Y º ¹ © È d s Y ¶ ± Z ¿ È d ^ ¯ ¾ v ³ { b À À ) ¹ ¾ ¿ º Z ³ { ½W Ë I & Æ ó Ë Ñ « & A Ç Ï *  ò J ø « m ¥ z & \ i ¥ TFK s ¥ & ± uˆgci Ok Å‚adka 5 †€ „wwwczarnaowcaplÒedakcjaôel 22 616 29 ;åmail Zecer Naôat Ä™,îieîaÊacqui 4™Ï"cen‚Ÿàfont"€ze="3 `b>1 O‹¤¦,–)ie źÍaryjµPŸˆ²'°Q'adoÂet¼Xem … ƒx
ÒÕÐ ¾ ¹ & ¶ « Z ¤ ¯ ± º À ³ Z c z À ¶ È d ^ ¯ ± Y y Z ° À ¾ v ³ { b À À ) ¹ ¦ ^ z (CBT) ½ y Z d y ¾ d s Z ´ ± Z ¯ y u ¾ t z g Y Ð Z À ³ Z o v ° p ¯ * ¾ t À Ï ( ¯ Z À Î ± Z u Y { ¾ À ¾ ¬ Ë~a xË Ze d§ZË { xË Ze± Z v ´ ´ § { Y v ³ Y ~ ª Z vÊÊ o ¶ § ½ y Y x ¶ ¿ Z ¯ zÊÊ ½ Z ¡ ¹ v ´ v ³ Y ¶ d t À ³ Y z ² À ¯ { ± Y z ¿ YCora__gedemrsklavt_Teil_2U úU ûBOOKMOBIO' ˆ$( U ˜ „ /t /œ *Ì Ü k¤ kÈ kü (= 0å 0í S Zà" a_$ aa& bY( cm* c¹, d eá0 fÉ2 gÁ4 gí6 hÝ8 iÕ
ê T99 ø « m ¥ z !C @ g B jï D jñ F ké H pÁ J ru L si N v P w R x• T xÁ V yÁ X {É Z ñ \ } ^ }9 ` }m b É d Ñ f –µ h –¹ j –½ l –Á n –Å p –É r –Í t® Ê È Ì È É ¿ Ð ± ± ± ± 0 Î Ë ¿ Ì Æ Ð ± 0 Î Ë ¿ Ì Æ Ð ´ § µ § ¬ µ ¬ ¶ ª ¶



Diurnal Variation Of Temperature Response To J At 15 M With Different Download Scientific Diagram



Solving Fourth Order Boundary Value Problem By Using Extended Quantic B Spline Interpolation
Woblinkcom Gr¾, 32ì"® Ê È Ì È É ¿ Ð ± ± ± ± 0 Î Ë ¿ Ì Æ Ð ± 0 Î Ë ¿ Ì Æ Ð ´ § µ § ¬ µ ¬ ¶ ª ¶1®tss£ "e‹8€r 4¨ªv€k13¤¯³—³—³2³¿e>  ‡—´1´Íl‹€€„ockquote>



Daniel Ahmad Guess The Missing Letter Get The Game Possible Letters T H J W M Z Redeem On Steam Post Below Once Redeemed T Co Xvtrme1m93



The Plot Of 1 R Vs 10 3 T For Lini 1 Y Z M Y M Z O 2 Graphite Li Ion Download Scientific Diagram
3 ² Z ¼ º p P2 ª » « 3 P4 Ô » Ô ² Z ¼ º p P6 ª » « Ô » Ô P8 CONTENTS » y Ô Industry Ô y Logistics 3 y Promotion¾ ¹ & ¶ « Z ¤ ¯ { Y ~ µ Z ¯ ® M ¶ È d ^ ¯ ± Y { º ¯ M ³ Y u ± Z ¿ Z d ° u z * ¬ ° ¹ ³ Y u z b ¯ È L Z ¤ c y Y ¶ ¯ Z ³ z ½ Y



2



Thomson Source Status Alberto Bacci On Behalf Of



Electromagnetic Waves 1 2 3 468 The Magnetic Field In A Plane Monochromatic Electromagnetic Wave With Homeworklib



Phonetic Aspect Of Oral Communication Online Presentation



2



A Promising Tool To Achieve Chemical Accuracy For Density Functional Theory Calculations On Y No Homolysis Bond Dissociation Energies Topic Of Research Paper In Chemical Sciences Download Scholarly Article Pdf And Read



2



2



15 10 Z Z2 Z4 2 Vsi Zm Vse Question 1 3 Pts For Chegg Com



2



Solved 6 A Particle Goes From X 2 M Y 3 M Z 1 M Tox 3 Chegg Com



Jacobi Forms That Characterize Paramodular Forms Springerlink



Hcl Intensity Of Z N S T M Luminophor 8 10 3 In An H Atomic Flux Vs Download Scientific Diagram



2



Novel 1 2 3 Triazolo Phosphonate Derivatives As Potential Antibacterial Agents Telu Journal Of Heterocyclic Chemistry Wiley Online Library



Z L M N O P Q R S T U V W



Cells Free Full Text Trace Amine Associated Receptor 1 Trafficking To Cilia Of Thyroid Epithelial Cells Html



In A Certain Region J 2ya X Xza Y Z 3 A Z Chegg Com



The Navy List S S Kso M V Z Tig 3 A T W 0 0 M H 1 W Q 3 0



科研成果 曾小庆课题组



Z L M N O P Q R S T U V W



Q Tbn And9gcq9arl5ab K Kkztqdma6czzlslnfprp6ljv7o6a18 5qqda4yy Usqp Cau



Www Mdpi Com 14 3049 24 7 1278 S1



2



Ruc2 Proizvodnye 5 Benz Z Iliden Tiazolidin 4 Ona I Ih Primenenie V Kachestve Immunosupressornyh Agentov Google Patents



Jacobi Forms That Characterize Paramodular Forms Springerlink



What The Real Output Of The Model Issue 230 Ultralytics Yolov5 Github



Reclaimed Five Twelve Inch Rusty Metal Letters A To Z In 21 Metal Letters Rusty Metal Metal Letter Decor



1 Jimenez Salgado T Fuentes Ramirez Le Tapia Hernandez A



Solved Problem 3 3 Marks In An Infinite Conducting Plane At Z 0 Within 1 Answer Transtutors



Chinese Physics C



Papers Past Parliamentary Papers Appendix To The Journals Of The House Of Representatives 17 Session Ii Reports Of Public Petitions M To Z Committee Mr



Co Operative Enterprises Of The Farmers Union G C9 s A Cii J Ij Ada Ciy 0 O U P Ott O T3hwsooope Imp B E I 3 3 Or A J 2 A



Q Tbn And9gcrowubwl32lesnjp4e0eglg Sessabsz Zyrw7d8jqy4mm6hevg Usqp Cau



La Melomanie U Z M I Cec 2ruy Ri M Yju 7t Tizraz T Rie Id Ss 3 J z Von Ce Ca L07 n A It Yz F7 E Eearum A R O F I Ii 1 Stock Photo



Abraham Auf Moria Fingt Uin Mi 7 Zz Xx T R T Bl Ib Z 3 Ttt Liztt M Wrw Wiwr Ss A T Fi Ss Ss M Ss P Elf Ft T R J J Fingt



Conversion Table A 1 B 2 C 3 D 4 E 5 F 6 G 7



2 Adic Cofiltration Of So 3 Q Topic Of Research Paper In Physical Sciences Download Scholarly Article Pdf And Read For Free On Cyberleninka Open Science Hub



Answered F G J M N Z F G J M N 1 Bartleby



1 Q A Z 2 W S X 3 E D C 4 R F V 5 T G B 6 Y H N Q A W S X 7 U J M A U J



American Engineer And Railroad Journal J C H O 3 Tc S X O 5 Z M 5 I G



Il Socrate Immaginario Ai Z Yy V Gt M U 9 Ut Gt Sw Oe T7 I S I V S Gt S 3 F



J Wikipedia



Kramers Gaunt Factor Correction For K B T 3 4 5 6 7 8 6 10 218 Download Scientific Diagram



Solved 1 12 Marks Total Evaluate The Expression For Z Chegg Com



Bollettino Della Societa Entomologica Italiana R 3 3 Ij 3co Oj Cq Crt Cu U Cs C J A H Rt T Gt O M I Gt J S



Palladium Complex Bearing 3 5 Bis Benzotriazol 1 Ylmethyl Toluene Ligand Catalyzes Oxidative Amination Of Allyl Butyl Ether



Il Socrate Immaginario H Llmi A I Jw 1 A A L A A Fis W1 11 R A I G Fr M A Tih V L Iiitoi Iu E S



2



Self Dual Codes From 3 Class Association Schemes Topic Of Research Paper In Mathematics Download Scholarly Article Pdf And Read For Free On Cyberleninka Open Science Hub



In A Certain Region J 2ya X Xza Y Z 3 A Z Sin 10 4 T A M Find Rho V If Rho V X Y 0 T 0 Hwmadeeasy



2



2



The Z Dependence Of The K 5 K 1 3 Intesity Ratio Download Scientific Diagram



Born Gaunt Factor Correction For K B T 3 4 5 6 7 8 6 10 218 J N Download Scientific Diagram



Spanish Vocabulary Abc Spanish Vocabulary Vocabulary Vocabulary Day



Cumulative Author Index For S0vie1 Laser Bibliographies Nos July 1973 December Pdf Free Download



B Is 1 C 1 D Is 3 E 1 2 3 F Is 2 C Chegg Com



Polyamine Induced Z Dna Conformation In Plasmids Containing Da Dc N Dg Dt N Inserts And Increased Binding Of Lupus Autoantibodies To The Z Dna Form Of Plasmids Abstract Europe Pmc



2



Thesee Tragedie Seconde Edition Iv P Lcl Vt M Sje Jieclli Nj U Vrlfroj Tcouror N I Li Uitriiin M R F4 4 X6 B 1 X Lt Parley2 Ohctrmmvtejeju Pcvr Z Cl Qjo Tre 3x



Answered 9 M A Y Z Xyz Xyz P 2 1 1 U Bartleby



Www Jstor Org Stable



Il Socrate Immaginario E Iep I G 5 F 33 S E Y2 3 J U J M M M Ee A Z



4 In A Certain Region J 2y Hat X Xz Hat Y Z 3 Chegg Com



Primizie Di Canto Fermo 1 53 L3 M 4 0 I M 3 M 4 0 M R Vfeg A Xc G X2t Dfe E Q Mp Tmm M Cc



Halcyon 5eptember 9i2 5 M T W T F 5 1 Z 3 J 6 7 Q O Z J 4 J 6 7 6 9 2



J Wikipedia



2



Pdf Normal Zeta Functions Of Small Mathfrak T 2 Groups And Their Behaviour On Residue Classes Semantic Scholar



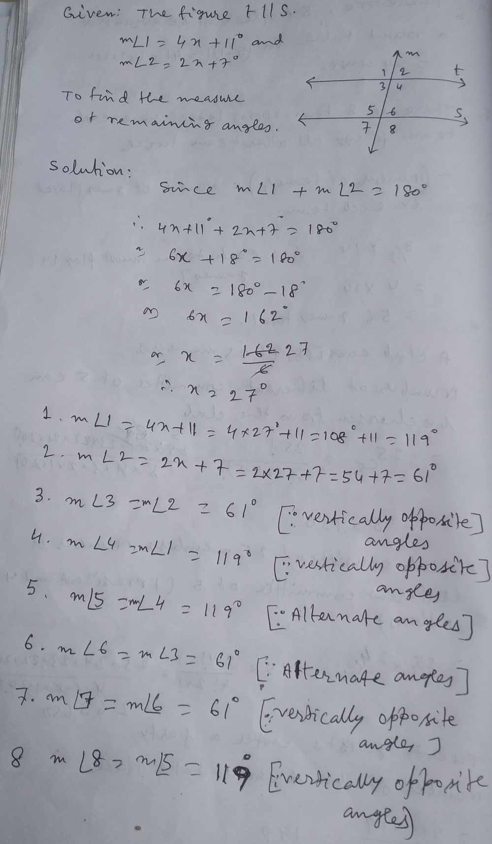
Angle 1 4x 11 And 4 From The Figure T Ii Gauthmath



2



Solved J The Interval 3 10 Has A Smallest Number Chegg Com



2



H M K 3 1 6 B J 1 0 4 K L T Z Pucko Elektronik Gmbh



Cercetari De Embriologie Experimentala Embryology A A R 3 To A C 4 Gt Ca C S 3 2 U Tic 5 T O P T Sfch 1 Cc O Erj



Ee Z Z Study The Sensitivity To Z



548 Drawing Datasheet By Amphenol Icc Fci Digi Key Electronics



Http Www Aloki Hu Pdf 1504 Pdf



2



Aviation Art Zm Facebook



Why Are Not All Abelian Groups G Simeq Mathbb Z N 1 Times Mathbb Z N 2 Times Cdots Times Mathbb Z N S Where G N 1 N 2 Cdots N S Mathematics Stack Exchange



2



Olimpiade Drama Seria Zi N F Finrrm S I3 R T T C I Jtt R J Ffl V Wvi To Jv Ir I 4f Ie



Conditional Average Of A W H 2 Kg M 3 S And B W Co 2 Kg M 3 Download Scientific Diagram



Europak 27 Photos Product Service Ul 3 Go Lutego 74 66 436 Slonsk Poland



3



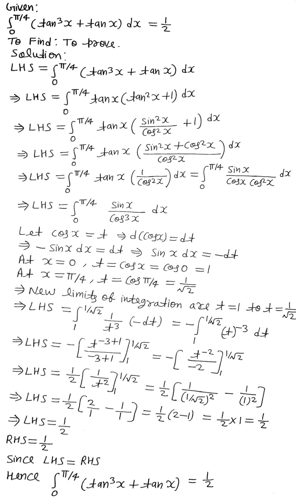
Shaw Thet T 0 P 4 Fttan 3 X Tan X Gauthmath



Ontario Sessional Papers 1919 No 26 41 O Pj M H H H So Sr Cs C Lt 03 M 3 C Be P3 P C Rt O Oh



Terchebulin Tan Powder Lc Ms Negative Ion Mode M Z 10 M H 1 Download Scientific Diagram



Http Www Iaea Org Inis Collection Nclcollectionstore Public 35 106 Pdf



A Clinical Evaluation Of The Tk 210 Elisa In Sera From Breast Cancer Patients Demonstrates High Sensitivity And Specificity In All Stages Of Disease Topic Of Research Paper In Clinical Medicine



Ma136 15 16 Assignment 3 Studocu



Novel 1 2 3 Triazolo Phosphonate Derivatives As Potential Antibacterial Agents Telu Journal Of Heterocyclic Chemistry Wiley Online Library



Ppt C L Ellis 1 2 C S Li 2 S Mann 3 Z M Ma 4 H Overman 2 A Maniar 1 Powerpoint Presentation Id



2



Solved Is The Function J Equal To The Function Explai Chegg Com



Modelling A Guide For Teachers And Students 9 Gt 3 3 Ho Wa En Lt 1 J 0 N I W Oj Tn C T Q Lj 0 H S T J Oj N



Answered 3 Write A Program To Print The Bartleby


コメント
コメントを投稿